春天的脚步跨入了四月,周围的环境也褪去了枯黄的外衣,莺歌燕舞,绿柳成荫,万紫千红的春景滋润着我们单调干涩的眸子,涤荡着我们冬日蛰伏的心灵。伴随着浓浓春意,第三期线上榜样墙也继续为大家的学习生活带来养料。本期不少同学通过Vlog的方式使我们的“榜样墙”更加立体多维,同时“踏春赏景特别篇”栏目让我们有机会一览祖国的大好风光,让我们一起来看看吧!
·学习好方法·
春光虽好,学业尚重,只有完成好学业,安排好生活,才能对得起这明媚春光和比春日更迷人的青春岁月。
116班 谢文杰
在家期间,可支配时间更多,但没有学校那样丰富的资源,于是我开始在网络上寻找学习资源。无论是较为正规的学习通、中国大学MOOC,还是轻松一点的哔哩哔哩动画平台,都有丰富的学习资料。利用好这些资源,能让线上学习效率更高。接下来,通过一段本人创作的Vlog走进我的学习资源库吧!
109班 黄萌阳
在线上网课学习的几个月里,我有以下的学习方法想和大家分享:
1.课前预习。课前要对下节课所讲的内容提前预习,有一定的理解,在线上的时候才能跟上老师的节奏,不懂的地方也会有更深层次的理解。
2.课上记录。俗话说,“好记性不如烂笔头”。老师讲课有侧重点,那么我们需要笔和纸随时做记录,既要跟上课堂进度,同时也要记下重点和疑难点,方便课下再进行理解记忆。
3.课后整理反思。对于课堂上整理潦草的笔记,课下需要根据老师所下发的PPT以及例题进行再整理,将重点知识重复记忆,再写上几个例题,方便理解。在完成了笔记整理后,要及时完成课后作业,进行自主批改,再对错题进行错因分析,反思整理。
4.提高自觉性,不懂就问。合理计划安排自己的时间,提高学习效率。如果有不会不懂的地方及时请教老师同学。


120班 王思颖
网络学习已经进行了一个多月,从刚开始的摸索不适应到现在的灵活变通,我有许多心得和体会。许多课程因为宅家的缘故没有教材支撑,老师和学院都分享了电子版的PDF,如果直接在电脑上看,并不能准确地做出批注,于是我选择的是利用平板上的相关app,在阅读教材的同时,也可以选择不同的笔触,不同的颜色来进行批注。
同时也可以利用电容笔进行笔记,app上的功能很多,有各色的荧光笔用来强调重点,也可以直接从电子教材中复制文字,省去了照抄原文的麻烦。我在使用平板做笔记之后,发现自己的笔记条理更加清晰,重点也很突出,比原来在纸上做笔记明显改善很多。网络学习让我接触到了新的学习方法,并且行之有效。


117班 黄旭
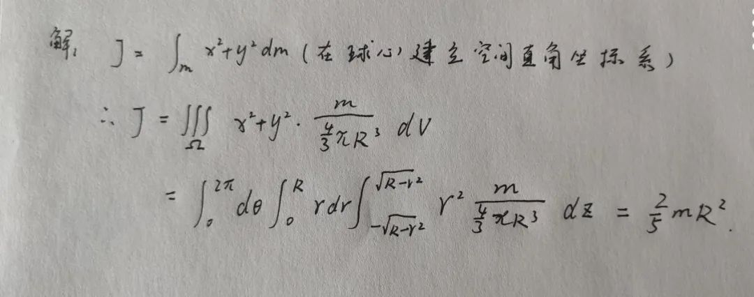
大学的课程较多,学习的时候容易顾此失彼,而善于利用学科交叉的特点进行学习是非常有效的。所谓学以致用,我们可以在学习A科的同时利用B科的知识进行辅助,这样既学习了A,也复习了B。比如在计算大物的转动惯量的时候不用分次单重的积分,而是直接多重积分一步算完,在简化计算的同时又复习了高数。又比如在处理实验数据的时候利用c++,自主编程处理数据,两全其美,将知识掌握得更牢固,岂不美哉?


·生活好习惯·
培根曾说:“习惯真是一种多么顽强的力量,它可以主宰人的一生”。春日之景迷人眼,自己的生活习惯可以适当调整,但不能打乱自己的生活习惯哦,“心似平原跑马,易放难收”,无论何时,习惯都尤其重要,看看下面的榜样们会给你带来怎样的启发。
124班 乔凯明
我会在每周末抽出一定的时间看一两部英文电影,尤其是由文学著作改编的电影,看英文电影不仅可以帮助我们领悟人生哲理,还能检测我们的词汇量,学习英语的发音和一些正统的俚语。我还会在看完电影后,给自己留一点时间进行思考,思考主人公的每次行为的原因与结果,如果放在自己身上自己会怎么做,又会有怎样的结果。


111班 解童敏
宅在家里的空余时间总是会比在学校里的多得多。除去学习时间和进行一些简单的锻炼外,这段时间正是养成一些兴趣爱好的好时机,兴趣爱好不仅能放松心情,还能提高自身能力。作为一个从小爱绘画的女孩,在提高自己画技的同时,我还学习了一些与之相关的技术——剪辑,live2d,以及与之相符的面部捕捉技术。这些东西很容易就能在网上找到教程,并进行实践。
不得不说在第一次接触这些东西确实让我有些困扰,实践过程中事故层出不穷,但在失败后总有一种新奇感。希望能有一天能成功地做出自己笔下角色的live2d,到时我再来投稿哦。

113班 崔君南
因为疫情的爆发,不得不居家隔离的我在家里尝试了各种生活新花样,在抖音上用电饭煲做蛋糕一时火遍全网,我也做了尝试,第一次尝试虽不能说完全成功,但也基本掌握了做法。长时间的居家隔离也使我不得不在网络上“找乐子”,比如在B站发现了练习听力的宝藏UP主,还有各种公开课,收获颇多。


·运动好模范·
春天来了,大家是不是忙着出去赏春而忽视了锻炼呢?这可不行,锻炼的习惯一旦养成绝不能半途而废,要想有好身体,锻炼不能丢!让我们看看本期健身达人们的做法吧!
115班 潘开江
健身,是一项长久的运动。没有恒心,毅力,不可能坚持下去。健身的好处可能在短期不会有明显的体现,但再过十几年甚至几十年后差距就很明显了。尤其是跟同龄人站在一起的时候,当别人体质减弱,而你身强体壮;当别人身材臃肿,而你苗条依旧;当别人垂垂老矣,而你却老当益壮。身体的改善不是一朝一夕就能达到的,然而身体素质的突破可是很迅速的。
有的时候,不逼自己一把,就不会知道自己有多大的潜能。曾经的我也是瘦弱不堪,但经过两年的健身,现在的我与过去的我不可同日而语。当然,健身的目的并不是全都为了增肌成为肌肉男,维护身体的健康才是最重要的。
以下是我最近每天做的一整套训练:
100个俯卧撑。强度从腰间俯卧撑慢慢过渡为普通俯卧撑;
50个引体向上。正手和反手各25个;
75个臂曲伸。单杠臂曲伸与双杠臂曲伸。
(最后,秀一下身材吧~~)


116班 倪海淘
这个假期里你是否一直在养膘?又或者天天刷剧,打游戏?对于一个热爱运动的人,正是个运动的好机会。
篮球是一项有趣的运动,它虽然没有足球那般激情四射,却有着无穷的魅力和创造力。它可以有各种各样的传球方式,打出各式各样的配合,让人眼花缭乱。同时,作为团队运动,又可以增进彼此的感情。不过打篮球需要注意保护自己,不可做一些危险的动作,同时也不能与他人发生矛盾后大打出手。打篮球,要讲究和气,要享受其中的乐趣。同时,打篮球还考验一个人的心理素质,这也是关键时候一个扣篮、一个突破就能改变战局的原因,也许这是给人的一种强心针吧,让人感觉自己能胜,此消彼长之下,自然局势就改变了。
约上朋友在人群较少的地方来一场酣畅淋漓的比赛,是不是也能弥补因疫情没能见面的遗憾呢?


108班 王瑞
运动可以提高人们的专注力,在适度的运动后也可提高我们的学习效率。阳春四月,正是运动好时节啊,暖洋洋的春光照在我们的身上,会不会让你有运动的欲望呢?随着疫情的结束,运动场所也逐渐开放了,在不耽误网课学习的同时,让我们尽情挥洒自己的汗水,一起去运动吧。接下来看看视频新手的运动Vlog吧!
·特别篇---踏春赏景·
“乱花渐欲迷人眼,浅草才能没马蹄”。在这个美丽的季节,我们不妨偷来片刻闲暇,暂时放下繁重的学业,去踏一踏春,在柔情满溢的四月和暖阳撞个满怀。如朱自清先生所写,“风里带来些新翻的泥土的气息,混着青草味,还有各种花的香,都在微微润湿的空气里酝酿”。
117班 陈烜琳---陕西
在漫长的冬日,同学大多宅在家里,很久没有出门看看外面的景色。如今,万物在春风中苏醒,春意盎然,周末与朋友来到家乡陕西省商洛市的仙鹅湖,偶得一帘微雨,淅淅沥沥的春露洗涤了碧草青山、繁樱素梨,每一丝空气都透露出清新的意味。跋涉在家乡的山水之中,沐浴着龙山旭日、熊耳晚霞,沉醉于丹江碧波,赏山花烂漫,观柳絮飞扬,一步一景,编织着“江山如画”的童话。


123班 郭典---云南
上周六天气晴朗,我和爸妈前往户撒乡爬山,途中虽经历了坎坷,但仍觉值得,虽然很累,但在春风的吹拂下,在春光的陶冶中仿佛所有疲惫都烟消云散。眼前的美景令我不经感慨,待凛冬离去,雪融草青,一定有新的相逢,将温暖延续。没有一个冬天不可逾越,没有一个春天不会到来,希望如约而至的除了春天,还有疫情过后平安的你。



121班 张博涵---河北
两周前我在秦皇岛农村老家,那里虽然没有城市里春意浓浓,但是桃花、梨花、杏花开的分外妖娆,我喜欢在老家的山腰和山脚下赏春,听着歌,赏着景,心情分外晴朗;回到唐山市之后,这里的春光将我震撼。在上周末我去家乡的曹雪芹公园散步赏春,相传曹雪芹祖籍丰润,图为公园中大观园的景色,大气雄伟,四周碧波荡漾,水天一色,美不胜收。




114班 秦博扬
Hello,这里是”写日记的秃头少女“,还记得第一期的学习up主吗?俗话说得好“只学习不玩耍,聪明的孩子也变傻”不学习时的我在干什么,你见过清晨六点半的天津吗?快来看看这支春日遛早儿vlog吧!
本期榜样墙到这里就结束啦,想必大家不仅学到了学习方法,生活习惯、锻炼技巧,也欣赏到了不同地域的春色吧。行动起来吧,让自己的生活更加丰富多彩,希望下一期能见到你定格的美丽瞬间哟!